刘江东家藏善本葬书.pdf 54页。古籍整理双开电子版。
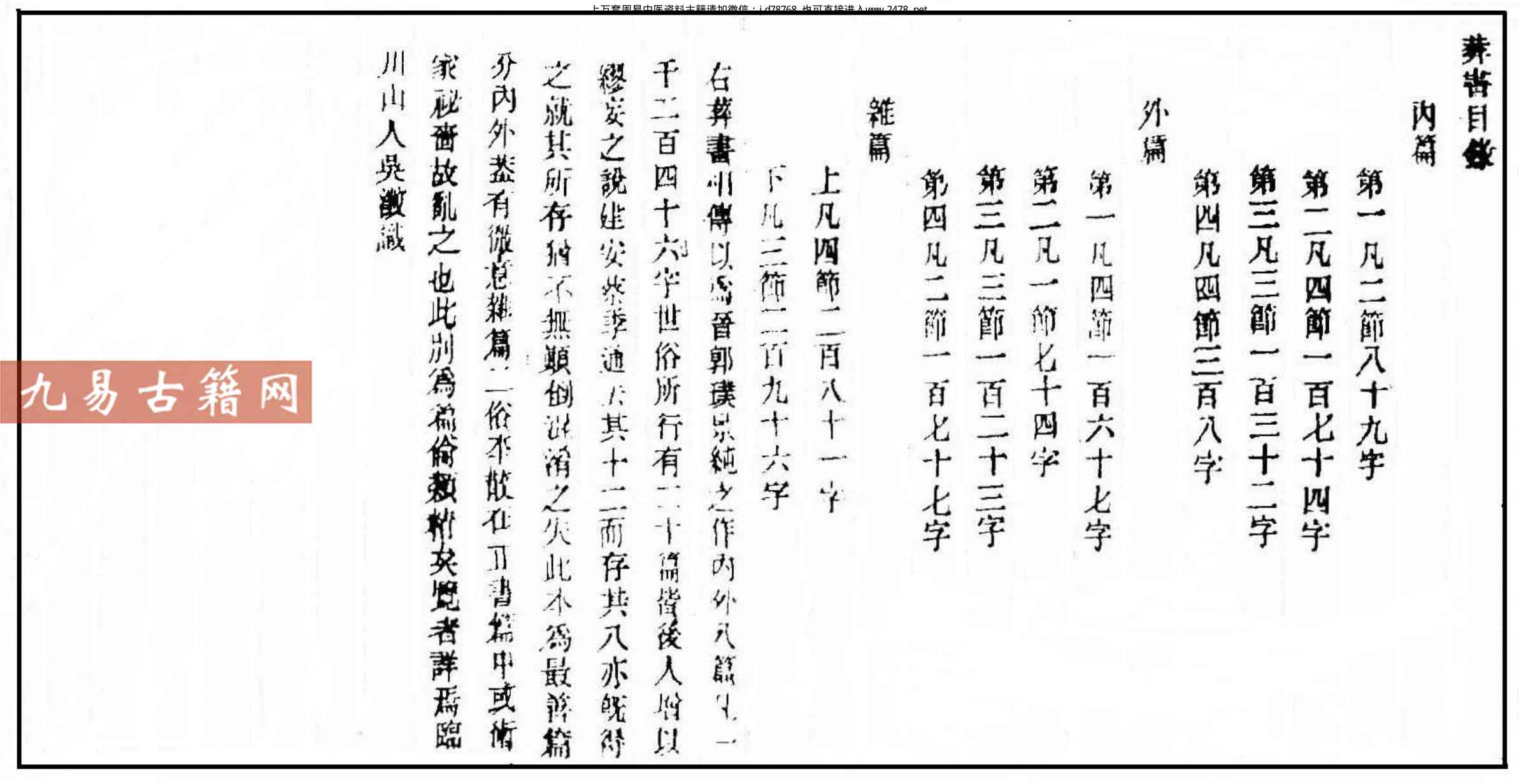
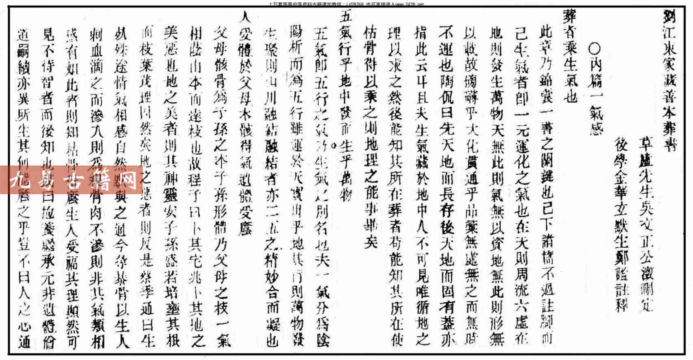
刘江东家藏善本《葬书》源于唐末五代堪舆家刘江东(名渊则)一脉秘传,托名晋代郭璞所著。该善本的核心特征在于其文本内容与后世通行本有显著差异,保留了更多古本原貌,且卷首或卷尾应有刘江东及其后学的传承题记、勘校批注,具家传谱系实证。其物质形态应为明代或清初的珍贵抄本或刻本,可能采用黄麻纸,墨迹精整,版式疏朗,字迹间或有朱笔校勘痕迹。书中避讳字可作为断代的重要依据。
├──刘江东家藏善本葬书.pdf 14.39M 54页
声明:本站所有文章,如无特殊说明或标注,均为本站原创发布。任何个人或组织,在未征得本站同意时,禁止复制、盗用、采集、发布本站内容到任何网站、书籍等各类媒体平台。如若本站内容侵犯了原著者的合法权益,可联系我们进行处理。









