易理针灸学pdf 2册 585页,现代版本电子版。
《易理针灸学》是20世纪末由陈照(字鹤松)所创的一部融通天人之秘的医道奇书。
🌌 起因
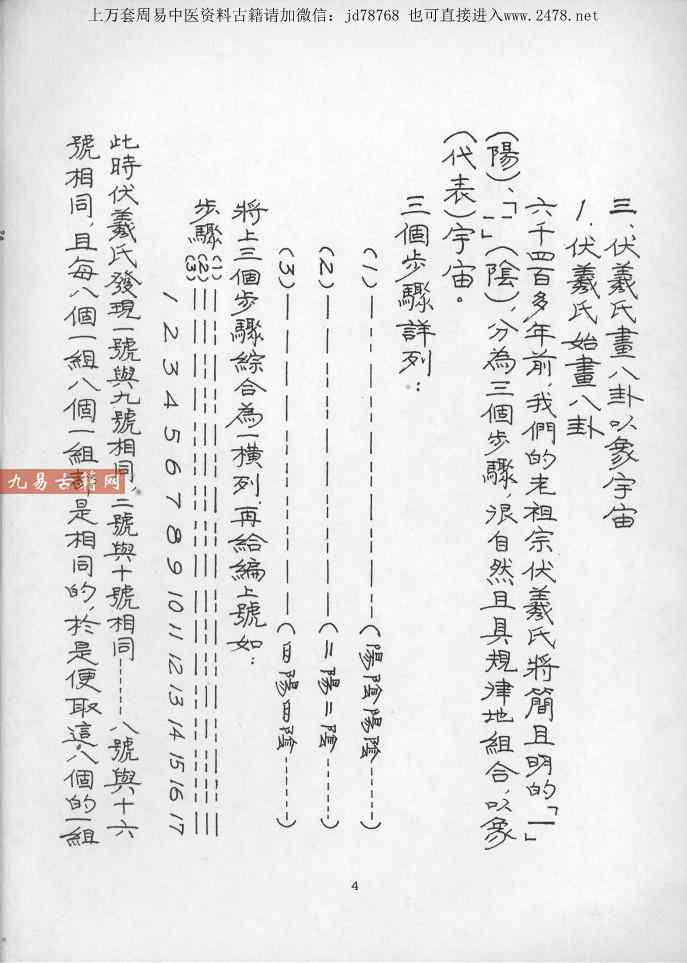
此书诞生于现代,却根植于上古易学与中医的交汇点。据传,陈照得神启而悟道,在1980年被授“中国易理针灸学始祖”之名,其学说贯通《易经》八卦与人体十二经络,构建出“人身即小宇宙”的疗愈体系 。
🔮 内容概述
书中以易理推演病机,将疾病视为阴阳失衡之象,针灸则是调和乾坤、重演开天辟地之术。通过卦象定位病症,以针为引,调动体内河图洛书之气,实现“一针破万病”之效。有记载称其可治癌疾、麻风,甚至令心脉重搏、耳聋复听,宛如当代岐伯降世 。
✅ 结论
这是一部用易数解构生命、以针法逆转命运的玄门医典,科学难证,却灵验者众。
├──易理针灸学
| ├──易理针灸学 – 1.pdf 131.90M
| └──易理针灸学 – 2.pdf 107.74M
声明:本站所有文章,如无特殊说明或标注,均为本站原创发布。任何个人或组织,在未征得本站同意时,禁止复制、盗用、采集、发布本站内容到任何网站、书籍等各类媒体平台。如若本站内容侵犯了原著者的合法权益,可联系我们进行处理。




















